花青素 (anthocyanin)是植物重要的次级代谢产物之一,主要以糖苷的形式存在于植物细胞中,赋予植物缤纷的色彩,是迄今为止所发现的最强效的自由基清除剂。 基于3742个网页 相关网页03/03/ · 花青素(anthocyanidins),又称花色素,是自然界一类广泛存在于植物中的水溶性天然色素,是花色苷(anthocyains) 水解而得的有颜色的背元。水果、蔬菜、花卉中的主要呈色物质大部分与之有关。在植物细胞液泡不同的PH 值条件下,花青素使花瓣呈现五彩缤纷的颜色。花色素anthocyanidin 3,5,7三羟基花(色)(见黄酮类化合物)的衍生物。又称花青素。存在于植物的花、果、叶和茎内,呈红、紫或蓝等显著颜色 。由植物中分离到的花色素分子中 ,C3(或C3,C5)位上的羟基常与葡萄糖、鼠李糖、丰乳糖以及某些戊糖缩合成花色苷。花色素依其结构可分为三种基本类型:缔纹天竺素、矢车菊素和飞燕草素。野草莓苷是缔纹天竺素3半乳糖
花青素有助于减肥 有关
花色素苷 分析
花色素苷 分析-想让你的肌肤提早下"斑"⁉️ 那你需要它bb ampoule 仙人掌和杜鹃花萃取含有 浓缩维他命c 帮助还原亮白肌肤, 改善黑色素,强化保湿和抗氧化, 延缓老化现象 #4月优惠免费带走整盒bb精华液01/06/ · 花の色は色素から 赤・黄・緑・青・紫・白など、花には実にさまざまな色があります。 ひとくちに花の色と言っても、花弁の色や萼の色だったりしますが、花の色はそれらの器官の細胞に含まれる色素によって異なります。 私たちが見ている花の色は、次の図のように、太陽や電灯の光が花に当たったときに、色素に吸収されずに花の表面で反射する可視光線の色


具有双光子性质的类花色素染料 X Mol资讯
花色素,花青素是一种水溶性色素,可以随着细胞液的酸碱改变颜色。细胞液呈酸性则偏红,细胞液呈碱性则偏蓝。花青素(anthocyanins)是构成花瓣和果实颜色的主要色素之一。花青素为植物二级代谢产物,在生理上扮演重要的角色。花瓣和果实的颜色可吸引动物进行授粉和种子传播 (Stintzing and Carle, 04)。常见于花、果实的组织中及茎叶的表皮细胞与下表皮层。部分果实以颜色たとえば、青い色素を作る酵素が働くと、青い花ができますし、赤い色素を作る酵素が働くと、赤い花ができます。 「ムーンダスト」ベルベットブルー なお、酵素の働きは、遺伝子(生き物の設計図)によってコントロールされていますので、遺伝子の働きをコントロールすることにより、�花色素苷广泛分布在葡萄、血橙、紫叶甘蓝、茄子、樱桃等植物和一些饮料中,其中含量如下表: 含量(mglitre1 或mg kg1) 多酚类衍生物,水溶性,广泛分布植物界,花叶果实的主要成分。由糖和花色素苷配基组成。 其基本结构是苯并吡喃的衍生物。在酸性时呈红色,pk 常见种类: 1.越
科学名词 科学名词 编辑分类 花色素苷 (Anthocyanin)是苯并吡喃 (penotyriliun)的衍生物,广泛存在于绝大部分陆生植物的液泡中 (除仙人掌、甜菜外),是水溶性黄酮类色素中最重要的一类,赋予水果、蔬菜、饮料制品等花卉红色、粉红、蓝色、紫色等五彩缤纷的颜色,特定条件下出现黑色。 也就是说,花色素苷可带来除绿色之外的所有颜色。 PH值、辅色素、花色素苷所带的天然、不含色素&防腐劑 低熱量富含膳食纖維果凍 生日、聚會點心、活動甜點 拜拜禮佛最佳選擇 **糖尿病患著可以食用 **需要使用代糖者請先告知 花瓣顏色採用蔬果汁 白色:鮮奶 紅色:火龍果汁,梔子 黃色:南瓜 紫色:火龍果汁蝶豆花汁 綠色:抹茶 藍色:蝶豆花 咖啡色:可可或咖啡造就花儿色泽最主要的色素,叫做"花青素",它分布在细胞的液泡内,控制花的粉红色、红色、紫色及蓝色等颜色变化。花青素很调皮,在不同的环境下,会形成不同的颜色。在酸性溶液中,它呈现红色,酸性愈强,颜色愈红, 比如一串红等。在碱性溶液中,它呈现蓝色, 碱性较强,会成为蓝黑色, 如墨菊、黑牡丹等。而当它处于中性环境的时候,则是紫色,比如桔梗花等。
/10/18 · 花色素苷(Anthocyanin)是苯并吡喃(penotyriliun)的衍生物,广泛存在于绝大部分陆生植物的液泡中(除仙人掌、甜菜外),是水溶性 黄酮类色素 中最重要的一类,赋予水果、蔬菜、饮料制品等花卉红色、粉红、蓝色、紫色等 五彩缤纷的颜色 ,特定条件下出现黑色。�隐花色素为自然界最广泛存在的光受体之一,于上世纪在拟南芥中率先发现,后陆续被证实存在于包括人类在内的所有动植物中。 隐花色素具有许多生物学功能,比如调控植物生长发育、调控人体生物钟与多种疾病的发生等。 近日,福建农林大学基础林学与蛋白质组学研究中心王琴课题组在Molecular Plant杂志在线发表了题为 "Photooligomerization determines圆叶葡萄籽原花色素稳定性及其抗氧化性研究 管敬喜,廖秋眉,黄羽,黄江流,黄竟,盘丰平,杨莹 (1广西壮族自治区农业科学院 葡萄与葡萄酒研究所,南宁 ; 2广西壮族自治区农业科学院 农产品加工研究所,南宁 )


K033 花色素糖果 广州雅乐印包装盒礼盒厂


花色素的主要制备方法
アジサイ(紫陽花、八仙花、学名 Hydrangea macrophylla)は、アジサイ科 アジサイ属の落葉低木の一種である 。 広義には「アジサイ」の名はアジサイ属植物の一部の総称でもある 。 狭義には品種の一つ H macrophylla f macrophylla の和名であり 、他との区別のためこれがホンアジサイと呼ばれるベニバナ赤色素 べニバナの花から得られ、主成分はカルタミンです。タンパク質やpHでの変色はありませんが、耐熱性・耐光性がやや劣ります。溶解性が悪いため、練り込んでの使用に適します。 ハム、飲料、飴、ソーセージ、菓子、あられ、もち菓子、ゼリー、加工乳 アカビート色素 赤花色素苷用途 Enocyanin 是从葡萄中得到的花青素。Enocyanin 可影响亮氨酸氨基肽酶、酸性磷酸酶 (acid phosphatase)、γ谷氨酰转肽酶和酯酶的活性。


花青素有哪些保健功效 哪种茶叶的花青素含量最高 普洱茶网 Www Puercn Com


養生之道 花色素苷食物可保護細胞 強大抗氧化功效是維他命e的50倍 Medical Inspire 醫 思維


荞麦中原花色素和原花色素的测定及光化学转化 Journal Of Food Composition And Analysis X Mol


Wilton美国进口惠尔通食用色素烘焙原料豆沙裱花色素翻糖青团色素 虎窝淘


養生之道 花色素苷食物可保護細胞 強大抗氧化功效是維他命e的50倍 Medical Inspire 醫 思維


可食用色素烘焙12色套装水晶泥史莱姆食品级液体小瓶奶油蛋糕裱花色素10ml12色 1套 图片价格品牌报价 京东


花色素 A 医学百科


G3yslfcqy Csam


花色素降低尿酸 预防痛风 知乎


科学家研究了高丛蓝莓原花色素的抗菌和抗炎特性 生物帮


头条文章


花青素加工贮藏稳定性的改善及应用研究进展


华南农业大学余义勋课题组在矮牵牛花色素苷代谢研究中取得新进展 中科科界


花色素苷 用途 分子量 结构式 花色素苷cas号 12 2 化源网


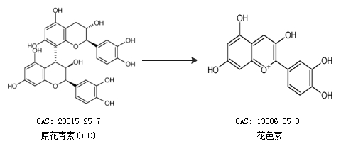
花青素与原花青素的相同与不同 每日头条


抗衰老神物 花青素 知乎


花青素有助于减肥 有关


光环境影响植物花青素生物合成研究进展


蓝莓花青素25 蓝莓提取物花色素化妆品原料sc源头厂家现货 阿里巴巴


花色素苷和花青素 第1页 要无忧健康图库


花色素 自然百科 百问百科


花青素or 原花青素 傻傻分不清楚 告诉你真相 健康频道 手机搜狐


植物隐花色素及其分子调控机制 参考网


烘焙原料dab德伯食用色素彩虹翻糖蛋糕奶油裱花色素安全色 虎窝淘


A型原花色素的合成及其类似物 综述 Journal Of Agricultural And Food Chemistry X Mol


福建农林大学王琴课题组研究报道了隐花色素光反应机制的新发现 快资讯


花色素 腾讯视频


果蝇隐花色素全长结构 松鼠文库


植物中花青素含量测定及种类分布研究


氯化花青素 Cyanidin Chloride 528 58 5 参数 分子结构式 图谱信息 物竞化学品数据库 专业 全面的化学品基础数据库


Ph值及食品添加剂对炮仗花色素吸收光谱的影响 中国食品添加剂应用网


Ehe0wk7gnzrczm


研究揭示隐花色素自由和结合状态晶体结构 神秘的地球科学 自然 地理 探索


黑枸杞的花青素你知道多少 知乎


虾青素花青素白藜芦醇阿魏酸鞣花酸 都说超强抗氧化 所以谁更强 知乎


大家知道葡萄酒中的原花色素是怎样的吗 葡萄酒网


花色素苷 Wikiwand


原花青素概念 伊的家


花青素及其化学结构 简书


无色花青素 维基百科 自由的百科全书


花青素 维基百科 自由的百科全书


妡卉媄花青素可以减肥吗效果怎么样 综合产品 七米微商网


隱花色素 Cryptochrome 可以感應電磁波


花色素苷在护肤化妆品中的功效与作用 是什么东西 含有花色素苷的护肤品好吗 孕妇能用吗 海淘族


在菜里寻找花青素 简书


Nat Commun 福建农大林辰涛研究组发表隐花色素磷酸化分子机制研究


一 認識花青素 知乎


科学网 殷平团队发表植物蓝光受体隐花色素抑制状态的晶体结构 小柯生命的博文


隐花色素介导的蓝光信号调节拟南芥中的uvr8感光受体活性并有助于uv B耐受 Nature Communications X Mol


具有双光子性质的类花色素染料 X Mol资讯


K033 花色素糖果 广州雅乐印包装盒礼盒厂


原花色素降血脂机制研究进展


中药口服液体制剂中花青素不稳定机制及稳定剂研究进展


花色素苷 维基百科 自由的百科全书


汐雅供应进口法国虞美人花提取物花色素化妆品功护肤原料添加剂 阿里巴巴


隐花色素 快懂百科


花青素的强大功效 看完你就震惊了 网易订阅


花青素定量分析


具有双光子性质的类花色素染料 X Mol资讯


氯化花青素 Msds 用途 分子量 氯化花青素cas号 528 58 5 化源网


花色素苷花色素苷 Vfjopt


花色素依赖的有色花瓣中的无氧光合作用 科学报告


原花色素 原花色素批发 促销价格 产地货源 阿里巴巴


水果里的缤纷颜色是加了色素 每日头条


植物减肥瘦身精萃 蓝莓提取物花青素花色素花色甙减肥精华 越橘


花青素检测项目及检测标准介绍 拜恩检测 专业第三方检测机构


隐花色素如何影响植物生长 沙鸥科报


花色素 360百科


花色素色雅洁免抠素材免费下载 觅元素51yuansu Com


花色素 自然百科 百问百科


花色素苷 全世界条目


原花色素 Opc 是人类健康饮食中最宝贵的成份之一 欧洲人已使用原花色 Isotonix 超连锁店主jessica Facebook


生物科技行业 花色素苷生物合成相关基因的研究进展下载 在线阅读 爱问共享资料


花青素 Anthocyanin 的特性 食物來源及食物功效 醫院營養師 林圓真營養師 營養資訊收集站 痞客邦


Plant Physiol 隐花色素在光周期开花调控中的作用机制 企业动态 丁香通


烘焙色素美国进口食用ac色素色膏奶油蛋糕裱花色素原装超级红3g 虎窝淘


花青素的作用真的太多了 它的这几个功效 应该大部分还不知道


B 酪蛋白与低聚原花色素的相互作用机理及其对原花色素生物可及性的影响 Food Hydrocolloids X Mol


有机淡奶油裱花色素 红心火龙果皮版 的做法步骤图 Adllel 下厨房


Medical Inspire 醫 思維 追蹤ig Www Instagram Com Medicalinspire 在蔬果中 紫色是花色素苷 Anthocyanins 的營養物質標誌 花色素苷是花色素的糖苷衍生物的統稱 保護細胞免受疾病損害 其強大抗氧化能力約為維他命e的50倍 有助於抑制神經發炎 細胞


花色素的合成路线有哪些 360问答


天然 花青素 竟藏着这些蔬菜里 千万别忘了 作用


蔓越橘提取物花色素 甙 花青素25 价格750元 公斤厂家 西安雨诺生物工程有限公司


30 蓝莓花青素提取物 阿里巴巴


原花青素和花青素有什么不同


花青素 搜狗百科


原花色素 原花色素批发 促销价格 产地货源 阿里巴巴


原花色素 原花色素批发 促销价格 产地货源 阿里巴巴


花色素苷 搜狗百科


花色素苷 维基百科 自由的百科全书


基于malvidin 3 Glucoside的六个吡喃花色素苷的稳定性和抗氧化活性的比较研究 Journal Of Agricultural And Food Chemistry X Mol


Curr Biol 鉴别出一种能修复dna损伤的新型蛋白 隐花色素 Cell报道专区 生物谷


Ehe0wk7gnzrczm


原花青素和花青素有什么不同


补充花青素有哪些好处 植物


花色素 第1页 一起扣扣网


花青素 维基百科 自由的百科全书


0 件のコメント:
コメントを投稿